 |
|
1-Deoxy-1-morpholino-d-fructose
|
 |
|
Heptadecyl 2-acetamido-3,4,6-tri-O-acetyl-2-deoxy-b-D-glucopyranoside
|
 |
|
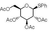
Phenyl 2,3,4,6-tetra-o-acetyl-1-thio-beta-d-glucopyranoside
|
 |
|
Benzyl 2-Acetamido-2-deoxy-3,6-di-O-benzyl-¦Á-D-glucopyranoside
|
 |
|
2,3,4,6-Tetra-o-acetyl-beta-d-glucopyranosyl azide
|
 |
|
D-Glucono-1,4-lactone
|
 |
|
NSC 409734
|
 |
|
2,3,4-Tri-O-benzyl-D-glucuronide benzyl ester
|
 |
|
Benzyl D-glucuronate
|
 |
|
Canagliflozin ¦Á Isomer
|